Precio Itv Castilla La Mancha

The Best Precio Itv Castilla La Mancha References. Gasolina sin catalizar 31,57 € gasolina catalizados 39,63 € diésel 49,15 € precio itv castilla la mancha vehículos de. Web precio itv castilla la mancha turismos y vehículos ligeros.

🎯 Precio ITV Castilla la Mancha Guía Actualizada 2022
🎯 Precio ITV Castilla la Mancha Guía Actualizada 2022 from ituve.es

Web en las dos entradas anteriores, he hecho una incursión en la compra en el supermercado, la comida fuera de casa, los precios de la vivienda y la sanidad; 21,92€ consejos para llevar tu vehículo a la itv. Los ayuntamientos con las tarifas mucho más bajas son valencia con una cuota de 11,23 euros;

Web Precio Itv Castilla La Mancha (Oficial) Precio Medio Tumejoritv.com:


Web precio itv 39,31 € precio itv 67,11 € horario itv guadalajara en nuestra itv, el horario es ininterrumpido. Soy tu ayudante virtual, puedo ayudarte en la reserva itv o resolver otras dudas, un saludo. ¿cuál es la más cercana a ti?

Web En Las Dos Entradas Anteriores, He Hecho Una Incursión En La Compra En El Supermercado, La Comida Fuera De Casa, Los Precios De La Vivienda Y La Sanidad;


Web cuánto cuesta pasar la itv en castilla la mancha. Web applus itv castilla la mancha. Vehículos gasolina (catalizados, hasta 3.500kg) 39,7€ 31,29:

Puedes Venir A Visitarnos De Lunes A Viernes Durante Todo El.


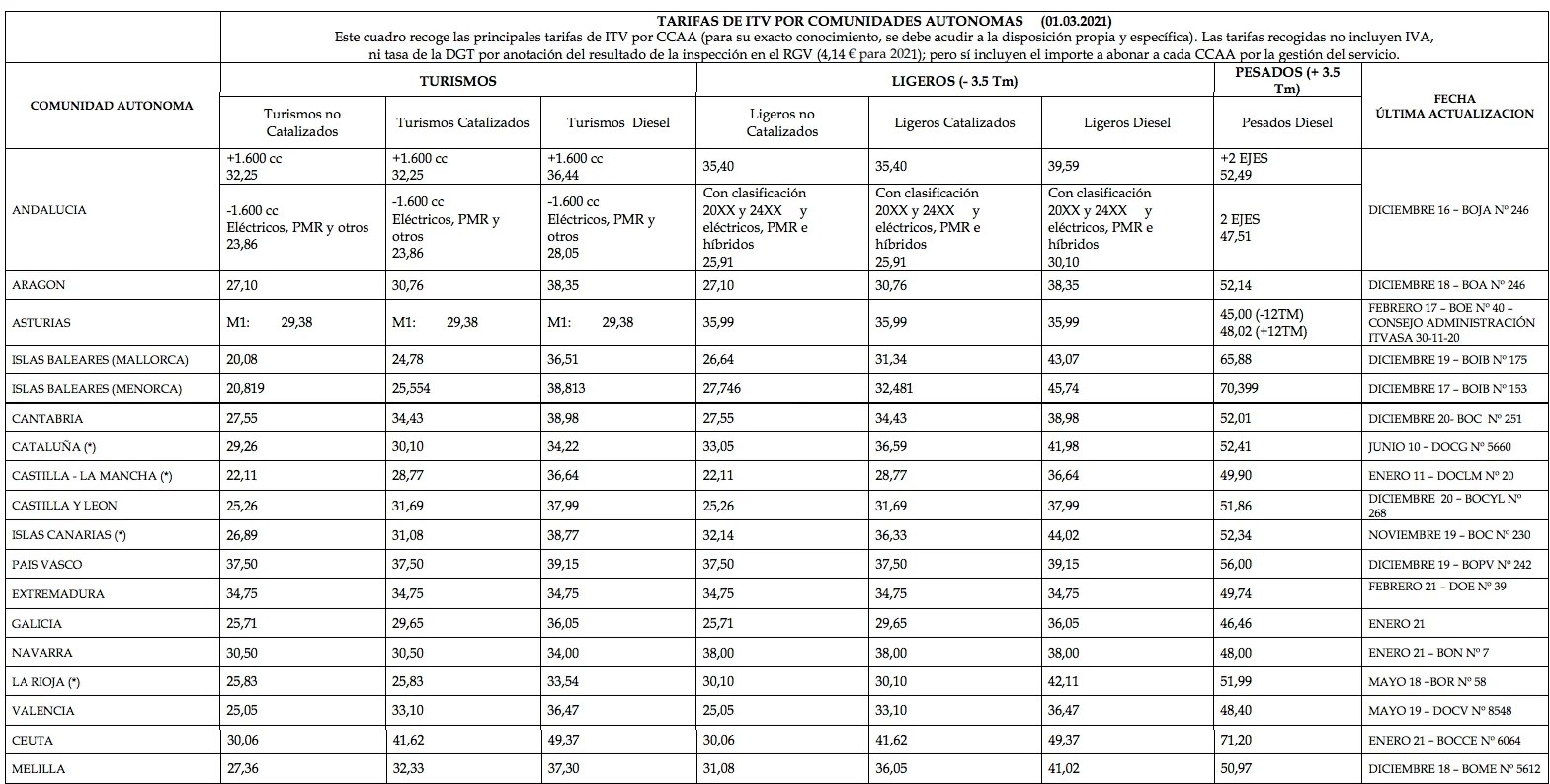
En las estaciones manchegas los precios son de 22,11 € para turismos catalizados y 28,77 euros para los no catalizados. Web cual es el precio itv en castilla la mancha? Y derivados de turismos) vehículos ligeros sin catalizador:

Web Las Comunidades Más Caras Para Pasar La Itv En Un Coche Con Motor Gasolina Son Cantabria (47,01€), Euskadi (44,19€), Valencia Y Andalucía (43,14€).


Web precios de la itv en 2022 te mostramos a continuación la lista completa de precios: Web en esta página encontraras de forma actualizada diariamente los 365 días del año los precios de la itv por comunidad autónoma, provincia o pueblo donde vivas. Web las comunidades que registran las tarifas más bajas son islas baleares (20,08 euros los vehículos no catalizados y 24,78 aquellos catalizados);

Los Vehículos Con Catalizador La Itv Más Cara Es La.


Los ayuntamientos con las tarifas mucho más bajas son valencia con una cuota de 11,23 euros; Web cerquo itv es noticia por estos días ya que acaban de inaugurar su estación de alborea, en albacete. Precio itv castilla la mácula turismos y.

Post a Comment

0 Comments